ANÁLISE DO COMPORTAMENTO ELETROMIOGRÁFICO E DA FORÇA DURANTE A FADIGA DO MUSCULO BÍCEPS BRAQUIAL
DOI:
https://doi.org/10.18066/revistaunivap.v27i53.2503Palavras-chave:
Eletromiografia de superfície, dinamometria, fadiga muscular.Resumo
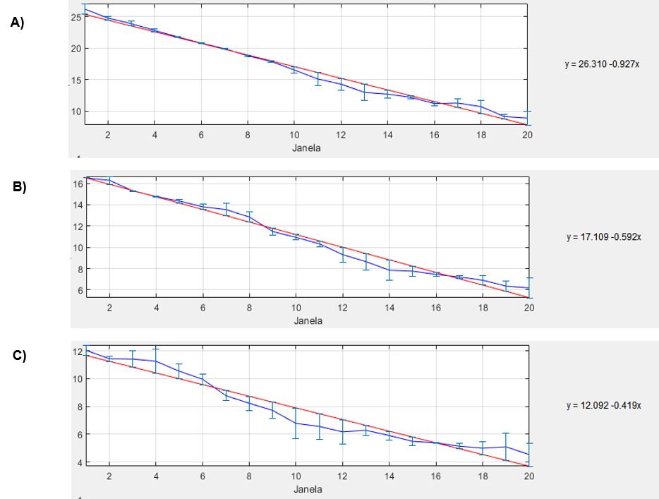
A fadiga muscular é definida como a incapacidade de manter a contração muscular e é ocasionada por alterações bioquímicas que modificam a mecânica da contração muscular, resultando em redução da performance atlética. O objetivo deste estudo foi avaliar o comportamento mioelétrico e a força de indivíduos hígidos durante a fadiga do músculo bíceps braquial. O estudo foi composto por 13 voluntários do sexo masculino com idade entre 20 e 30 anos (25±3,7). Para a indução da fadiga muscular foram realizadas três Contrações Isométricas Voluntárias Máximas (CIVM) com duração de 50 segundos e intervalo de 50 segundos, utilizando um dinamômetro computadorizado acoplado ao eletromiógrafo de superfície. Durante a CIVM foi avaliado o sinal eletromiográfico e a força. Foi possível observar nos resultados uma queda da força muscular e dos parâmetros avaliados por meio da eletromiografia durante a fadiga muscular. A partir da regressão linear dos dados obtidos por meio da eletromiografia e dinamometria foi possível obter o coeficiente angular da reta para cada teste (Teste 1, Teste 2 e Teste 3), nota-se que houve queda de todos os parâmetros avaliados por meio da eletromiografia de superfície e da força muscular, entretanto não houve diferença estatística entre os testes, demonstrando similaridade do comportamento do sinal entre os testes. Conclui-se, portanto, que os parâmetros eletromiográficos analisados (frequência média, frequência mediana e RMS) e a força apresentam um decréscimo durante a fadiga muscular induzida por meio da CIVM.Downloads
Referências
ALLEN, D.G.; LAMB, G.D.; WESTERBLAD, H. Skeletal muscle fatigue: cellular mechanisms. Physiol Rev. v. 88, n. 1, p. 287-332, 2008.
AL-MULLA, M. R.; SEPULVEDA, F.; COLLEY, M. A Review of Non-Invasive Techniques to Detect and Predict Localised Muscle Fatigue. Sensors, v. 11, p. 3545-3594, 2011.
BACHASSON, D. et al. Neuromuscular Fatigue and Exercise Capacity in Fibromyalgia Syndrome. Arthritis Care Res. v. 65, n. 3, p. 432-440, 2013.
BAUDRY, S. et al. Age-related fatigability of the ankle dorsiflexor muscles during concentric and eccentric contractions. Eur J Appl Physiol. v. 100, p. 515-525, 2007.
BARTUZI, P.; ROMAN-LIU, D. Assessment of muscle load and fatigue with the usage of frequency and time-frequency analysis of the EMG signal. Acta Bioeng Biomech, v. 16; n. 2, p. 31-39, 2014.
BOGDANIS, G. C. Effects of physical activity and inactivity on muscle fatigue. Front Physiol., v. 3, p. 1-15, 2012.
CASTROFLORIO, T. et al. Myoelectric manifestations of jaw elevator muscle fatigue and recovery in healthy and TMD subjects. J Oral Rehabil., n. 39, n. 9, p. 648-658, 2012.
CONTESSA, P.; ADAM, A.; DE LUCA, D. J. Motor unit control and force fluctuation during fatigue. J Appl Physiol., v. 107, p. 235–243, 2009.
FERRARESI, C.; HAMBLIN, M. R.; PARIZOTTO, N. A. Low-level laser (light) therapy (TLBI) on muscle tissue: performance, fatigue and repair benefited by the power of light. Photonics Lasers Med., v. 1, n. 4, p. 267–286, 2012.
FERRARESI, C. et al. Time response of increases in ATP and muscle resistance to fatigue after low-level laser therapy in mice. Lasers Med Sci., v. 30, p. 1259-1267, 2015.
GALEN, S. S.; MALEK, M. H. A single electromyographic testing point is valid to monitor neuromuscular fatigue during continuous exercise. J Strength Cond Res., v. 28, n.10, p. 2754–2759, 2014.
GARCÍA-HERMOSOA, A.; SAAVEDRAC, J. M.; ESCALANTE, Y. Effects of exercise on functional aerobic capacity in adults with fibromyalgia syndrome: A systematic review of randomized controlled trials. J Back Musculoskelet Rehabil., v. 28, n. 2015, p. 609–619, 2015.
GEROLD, E. et al. Age- and sex-specific effects in paravertebral surface electromyographic back extensor muscle fatigue in chronic low back pain. GeroScience, v. 42, n.1, p. 251-269, 2019.
KORAL, J. et al. Mechanisms of neuromuscular fatigue and recovery in unilateral versus bilateral maximal voluntary contractions. J Appl Physiol, v. 128, n. 4, p. 785-794, 2020.
KUNISZYK-JÓŹKOWIAK, W.; JASZCZUK, J.; CZAPLICKI, A. Changes in electromyographic signals and skin temperature during standardised effort in volleyball players. Acta Bioeng Biomech., v. 20, n. 3, p. 115-122, 2018.
LEAL JUNIOR, E. C. P. et al. Effect of cluster multi-diode light emitting diode therapy (LEDT) on exercise-induced skeletal muscle fatigue and skeletal muscle recovery in humans. Lasers Surg Med., v. 41, n. 8, p. 572 – 577, 2009.
MATHUR, S.; ENG, J. J.; MACINTYRE, D. L. Reliability of surface EMG during sustained contractions of the quadriceps. J Electromyogr Kinesiol., v. 15, n. 2005, p. 102–110, 2005.
MOREIRA, P. V. S.; TEODORO, B. G.; MAGALHÃES NETO, A.M. Neural and metabolic bases of the fatigue during the exercise. Biosci. J., v. 24, n. 1, p. 81-90, 2008.
NEVES, M. F. et al. Effects of low-level laser therapy (TLBI 808 nm) on lower limb spastic muscle activity in chronic stroke patients. Lasers Med Sci., v. 31, n. 7, p. 1293-1300, 2016.
ORANCHUK, D. J. et al. Effect of blood flow occlusion on neuromuscular fatigue following sustained maximal isometric contraction. Appl Physiol Nutr Metab. p. 1-29, 2019.
PITTA, N. C. et al. Activation time analysis and electromyographic fatigue in patients with temporomandibular disorders during clenching. J Electromyogr Kinesiol., v. 25, n. 4, p. 653 – 657, 2015.
QUESADA, J. I. P. et al. Relationship between skin temperature and muscle activation during incremental cycle exercise. J. Therm. Biol., v. 48, p. 28-35, 2014.
SMITH, C. M. Combining regression and mean comparisons to identify the time course of changes in neuromuscular responses during the process of fatigue. Physiol. Meas., v. 37, p. 1993-2002, 2016.
TSCHARNER, V. V. Time–frequency and principal-component methods for the analysis of EMGs recorded during a mildly fatiguing exercise on a cycle ergometer. J Electromyogr Kinesiol., v. 12, n. 2002, p. 479–492, 2002.
VASSÃO, P. G. et al. Effects of photobiomodulation on the fatigue level in elderly women: an isokinetic dynamometry evaluation. Lasers Med Sci., v. 31, n. 2, p. 275–282, 2015.
WESTERBLAD, H.; ALLEN, D. G. Emerging roles of ROS/RNS in muscle function and fatigue. Antioxid Redox Signal, v. 15, n. 9, p. 2487–2499, 2011.
Downloads
Arquivos adicionais
- Figura 1 - Posicionamento do voluntário no banco Scott durante o protocolo de indução da fadiga muscular
- Figura 2 - Regressão linear dos valores da frequência média e mediana obtidos pelo Software ELEDA
- Figura 3 - Regressão linear dos valores de Root Mean Square obtidos pelo Software ELEDA
- Figura 4 - Regressão linear dos valores da força média obtidos pelo Software ELEDA
Publicado
Como Citar
Edição
Seção
Licença

Esse trabalho está licenciado com uma Licença Creative Commons Atribuição 4.0 Internacional.
Esta licença permite que outros distribuam, remixem, adaptem e criem a partir do seu trabalho, mesmo para fins comerciais, desde que lhe atribuam o devido crédito pela criação original.
http://creativecommons.org/licenses/by/4.0/legalcode