ESTUDO DO COMPORTAMENTO DO AÇO A-36 EM MEIOS CONTENDO ÍONS CLORETO E ÍONS SULFATOS
DOI:
https://doi.org/10.18066/revistaunivap.v26i51.2438Palavras-chave:
Aços estruturais, aço ASTM A36, taxa de corrosão, ensaios eletroquímicos, meios corrosivos.Resumo
O aço é um dos materiais metálicos mais utilizados atualmente. Em virtude da importância econômica e industrial do aço no desenvolvimento tecnológico, existe uma motivação contínua na proteção anticorrosiva destes materiais, destacando-se a importância da redução de custos e a relação custo-benefício. Este trabalho tem como objetivo realizar uma avaliação da influência do meio sobre a corrosão do aço estrutural ASTM A-36, para tanto foram utilizados meios eletrolíticos em pH neutro, contendo íons cloreto e íons sulfatos; pH básico (hidróxido de sódio) e pH ácido (ácido clorídrico). Este estudo mostrou, claramente, que na solução de NaOH 0,1 M, a taxa de corrosão foi significativamente menor em relação aos demais eletrólitos estudados, não somente nas primeiras horas, mas após períodos mais longos. Foi observado também que em meio neutro a taxa de corrosão é significativamente menor que em meio ácido mesmo na presença de íons cloretos.
Downloads
Referências
ASTM G1-90. Standard Practice for Preparing, Cleaning, and Evaluation Corrosion Test Specimens. ASTM International, 1990.
ASTM G31-72, Standard Practice for Laboratory Immersion Corrosion Testing of Metals. ASTM International, 2004.
BAJARES, R. A.; MELLA, L. Study of the corrosion rate in the couple of steels ASTM A-36 and AISI/SAE 304 in a water-coke of petroleum system. Procedia Materials Science, v. 8, p. 702 – 711, 2015.
CHIAVERINI, V. Aços e ferros fundidos: características gerais, tratamentos térmicos, principais tipos. 7. ed. São Paulo: Associação Brasileira de Metalurgia e Materiais, 2015.
GENTIL, V. Corrosão. 5. ed. Rio de Janeiro: Livros Técnicos e Científicos Editora S.A., 2007.
GUSTAFSON, K. Evaluation of Existing Structures. Steelwise. Modern Steel Construction. February, p. 1-3, 2007.
HASAN, M F., Analysis of Mechanical Behavior and Microstructural Characteristics Change of ASTM A-36 Steel Applying Various Heat Treatment. Journal of Material Science & Engineering, v. 5, p. 1-7, 2016.
KIM, I.T. et al. Experimental evaluation of shear buckling behaviors and strength of locally corroded web. Journal of Constructional Steel Research, v. 83, p. 75-89, 2013.
NUNES, L. P. Fundamentos de resistência à corrosão. Rio de Janeiro: Editora Interciência LTDA. 2007.
SAJID, H.V.; KIRAN, R., Influence of corrosion and surface roughness on wettability of ASTM A36 steels. Journal of Constructional Steel Research, v. 144, p. 310-326, 2018.
Downloads
Arquivos adicionais
- Figura 1: Evolução do potencial de circuito aberto do aço ASTM A-36, imerso em solução de HCl 0,1M; solução de NaCl 0,1 M; solução de NaOH 0,1 M e solução de Na2SO4 0,1 M (Fonte: Autor)
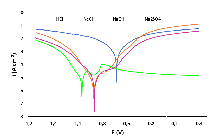
- Figura 2: Curvas de polarização do aço ASTM A-36, imerso em solução de HCl 0,1M; solução de NaCl 0,1 M; solução de NaOH 0,1 M e solução de Na2SO4 0,1 M. (Fonte: Autor)
- Figura 3: Gráfico A - Perda de massa das amostras de aço ASTM A-36 imerso em solução de HCl 0,1M. (Fonte: Autor)
- Figura 4: Ampliação do Gráfico A (Fonte: Autor)
- Figura 5: Taxa de corrosão do aço ASTM A-36, imerso em solução de HCl 0,1M; solução de NaCl 0,1 M; solução de NaOH 0,1 M e solução de Na2SO4 0,1 M. (Fonte: Autor)
- Figura 6: Taxa de corrosão do aço ASTM A-36, imerso em solução de HCl 0,1M; solução de NaCl 0,1 M; solução de NaOH 0,1 M e solução de Na2SO4 0,1 M (Fonte: Autor)
- Figura 7: Amostras após imersão em solução de solução de NaOH 0,1 M; solução de Na2SO4 0,1M; solução de NaCl 0,1 M e em solução de HCl 0,1M (Fonte: Autor)
Publicado
Como Citar
Edição
Seção
Licença

Esse trabalho está licenciado com uma Licença Creative Commons Atribuição 4.0 Internacional.
Esta licença permite que outros distribuam, remixem, adaptem e criem a partir do seu trabalho, mesmo para fins comerciais, desde que lhe atribuam o devido crédito pela criação original.
http://creativecommons.org/licenses/by/4.0/legalcode